
Back to projects
Multi agent system - marketing bure
Autonoom multi-agent systeem dat marketingcampagnes genereert: strategie, copy, social content en visuals via een pipeline van 7 gespecialiseerde AI-agents.
In Progress
February 1, 2026
Technologies Used
Eva — Autonoom Multi-Agent Marketingsysteem
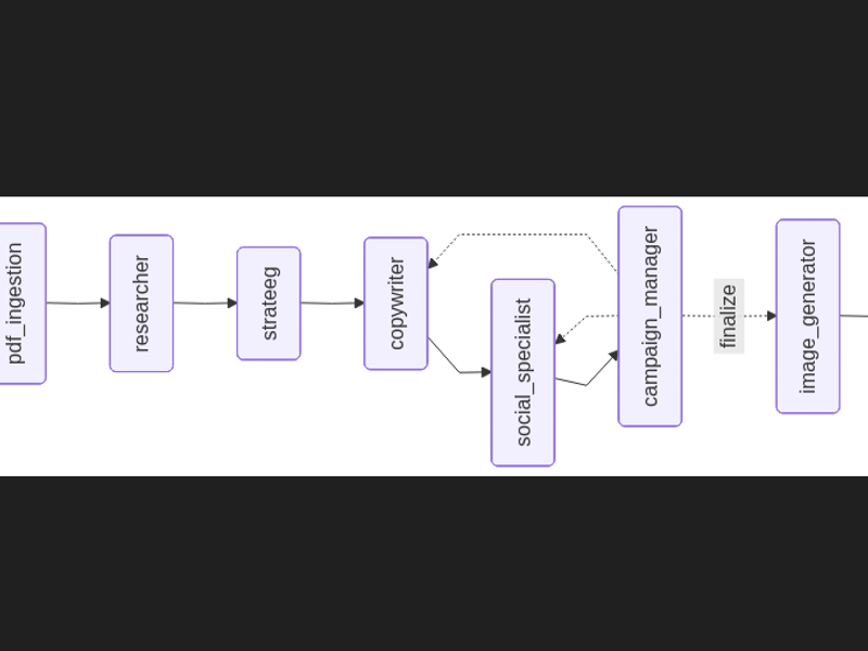
Eva genereert volledige marketingcampagnes via een pipeline van 7 gespecialiseerde AI-agents. Van marktonderzoek tot gegenereerd beeld — volledig autonoom, met een ingebouwde feedbackloop.
Pipeline
- PDF Ingestion — laadt productcontext via RAG (lokaal model van huggingface)
- Researcher — marktanalyse en doelgroep
- Strateeg — positionering en strategie
- Copywriter — marketingteksten (max. 3 iteraties)
- Social Specialist — platform-specifieke content
- Campaign Manager — beoordeelt en keurt goed of stuurt terug
- Image Generator — genereert campagnevisual via SDXL
Features
- Real-time agent tracking via het dashboard
- PDF upload als extra context (RAG)
- Dynamische skills per campagnetype (product of boek)
- LangSmith tracing voor observability
- Volledig gedraaid in Docker
Gebouwd voor
Schoolproject voor de GenAI Engineer specialisatie aan Fontys Hogeschool, semester 4, persoonlijk onderzoeksproject.
Project Gallery

dashboard

new campaign

running campaign

generated campaign

Graph
#AI #LangGraph #Multi-Agent #Fontys #Semester 4 #GenAI